——韓立圣 惠晶
摘要:介紹一種大功率開關電鍍電源的設計方案。為解決電鍍電源中出現的電流嚴重畸變問題,采用三相PWM高功率因數整流方案,采用TMS320LF2812實現逆變器的FB-ZVSPWM控制方式,功率輸出采用變壓器功率合成及倍頻整流模式,降低了開關損耗,有效提高了開關頻率和輸出效率。采用Matlab對其進行了仿真,仿真分析和實驗結果驗證了設計方案的可行性,證明了設計的電源具有諧波污染小,功率因數高,轉換效率高等優點。
1·引言
傳統電鍍電解直流電源采用晶閘管相控整流模式,導致電網側諧波大、功率因數低。現代電鍍電解開關電源采用二極管整流-IGBT逆變橋-高頻變壓器耦合-低壓整流的拓撲結構,具有體積小、效率高、直流電壓紋波小的優點,但直流母線采用大電容濾波,同樣會導致網側電流畸變、功率因數降低。鑒于電鍍電源要求輸出直流低電壓和大電流,設計的電源采用電壓空間矢量控制三相PWM整流器,從而實現了功率因數校正。采用IGBT全橋逆變,高頻變壓器耦合輸出,最后通過倍頻整流和LC濾波,使直流輸出電壓的質量和裝置能量密度顯著提高。
文中介紹的電鍍用開關電源,其滿載輸出功率為60kW,輸出電壓為12V,輸出電流為5kA,且連續可調。通過采用三相PWM整流技術控制相電流實現正弦波。理論分析、仿真及實驗表明,該電路實現了輸入電流的高功率因數整流和低電流畸變,有效抑制電鍍電源的網側電流諧波。同時采用全橋零電壓軟開關控制方式,有效減少了功率損耗。
2·主電路拓撲結構
鑒于大功率的輸出,高頻逆變部分采用以IGBT為功率開關器件的全橋拓撲結構。
圖1示出電源主電路,包括:工頻三相交流電輸入、整流橋、濾波電感電容、高頻全橋逆變器、高頻變壓器、輸出整流環節、輸出LC濾波器等。其中,C1為小電容,用于濾除尖峰脈沖帶來的毛刺;C2為大容量電容;VTi(i=1~4)構成全橋逆變器;Cz為防止變壓器發生磁偏的隔直電容。

盡管目前廣泛采用軟開關技術實現大功率開關電鍍電源的設計方案比以前晶閘管相控整流方式效果更佳,但仍存在損耗大、功率因數低以及諧波等問題,故三相功率因數校正成為研究熱點。為此,在設計中增加了功率因數校正環節,從而有效地提高了電源的功率因數和效率。
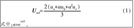
3·三相PWM高功率因數整流環節
三相PWM高頻整流電路的主要原理是通過對PWM整流電路的適當控制,使輸入電流非常接近于正弦波,且和輸入電壓同相位,功率因數近似為1,因此,該整流電路可稱為高功率因數整流器。圖2示出基于三相PFC的電鍍電源系統框圖,其中前級為三相PFC及其控制電路。
- 1
- 2
- 3
- 4
- 總4頁
http:www.x5a5.com/news/26102.htm






