摘要:本文介紹了以 BOOST 為主拓撲的 PFC 電路的小信號模型建立,討論并給出了在數字控制下電流環與電壓環補償環路的設計方法,采用 TI 公司的 TMS320LF2407A 控制芯片,對控制方案進行了驗證。
1.引言
在電力電子電路中,非線性開關電源的應用使得諧波電流對電網造成了污染和危害。為提高電網功率因數, 功率因數校正技術得到迅速發展和廣泛的應用。近年來,隨著數字信號處理技術的飛速發展,以 DSP為核心數字信號處理芯片開始廣泛的應用于開關電源中。數字控制較之模擬控制有很多優點,比如控制減少成本,適應性好,開放周期短等,數字控制將是功率因數校正領域今后的發展方向。
2.PFC 電路模型建立
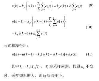
目前應用最廣泛的電路是如圖 1 所示以 Boost 為主拓撲的 PFC, Boost 電路具有電感電流連續、 可抑制EMI 噪聲,電流波形失真小,在整個輸入電壓范圍內能保持較高的功率因數。 PFC 電路通常采用雙環控制,電流環是內環, 控制輸入電流波形跟隨輸入電壓波形;電壓環是外環,調節輸出電壓保持穩定。

建立小信號數學模型,分析變換器的低頻動態特性可以為我們更好的了解電路本質,為環路設計提供依據。就小信號而言,在靜態工作點附近用線性關系近似代替變量間的非線性關系,使得各小信號分量之間用線性方程來描述,實現了非線性系統的線性化。

- 1
- 2
- 3
- 4
- 總4頁
免責聲明:本文僅代表作者個人觀點,與電源在線網無關。其原創性以及文中陳述文字和內容未經本站證實,對本文以及其中全部或者部分內容、文字的真實性、完整性、及時性本站不作任何保證或承諾,請讀者僅作參考,并請自行核實相關內容。
來源:張衛平 周升明 毛鵬
來源:張衛平 周升明 毛鵬
本文鏈接:數字控制PFC電路的建模與環路設計
http:www.x5a5.com/news/36725.htm
http:www.x5a5.com/news/36725.htm
文章標簽: 功率因數/環路補償/數字控制













