TPS61040/41是一款高頻低功耗升壓轉換器,專門用于中小型LCD偏壓和白光LED背光照明。使用時可由兩節鎳氫/鎳鎘電池或單節鋰離子電池產生高達28V的輸出電壓。TPS61040/41的開關頻率高達1MHz,功耗低(靜態電流典型值28μA)。
封裝及引腳功能
TPS61040/41采用SOT-23-5或SON-6封裝如圖1所示,其引腳功能如表1所示。

圖1 TPS61040/41采用SOT-23-5或SON-6封裝
表1 引腳功能表

典型應用電路
由圖2可知,TPS61040/41輸入電壓范圍為1.8~6V,輸出電壓可達28V.當輸入端加入輸入電壓VIN時,TPS61040/41內部MOSFET開關Q1導通,并逐步增加了從VIN通過L1、Q1和內部電流檢測電阻RSENSE的電流量。TPS61040/41的FB(反饋)腳檢測輸出電壓,只要反饋電壓低于參考電壓(典型值1.233V),則內部Q1導通,電流增大;當電感L1電流達到內部設置峰值電流ILM(TPS61040為400mA或TPS61041為250mA)時Q1截止,另外為應付極端條件以限制最大導通時間,在最大導通時間超過6μs(典型值)時Q1也會截止。TPS61040/41外接元件決定了Q1的關斷時間。為了維持運行以及設定Q1的關斷時間,TPS61040/41內部控制器必須用Q1和RSENSE監測通過L1的電流。當關斷Q1時,流過L1的電流中斷會升高電感上的電壓,使外部的肖特基二極管D1正偏并導通,D1作續流二極管保證電流輸出,為輸出電容器C1充電至一個較高電壓,這個電壓高于單獨的輸入電壓VIN。

圖2 應用電路
開關管關斷至少要保持400ns(典型值),或者反饋電壓又低于參考電壓時才導通。輸入電壓、L1以及通過RSENSE的預設峰值電流都會影響Q1的導通時間。
具體電路設計
本文給出了TPS61040的兩種具體電路。圖3為用TPS61040作為升壓轉換器來驅動并聯LED;圖4為用TPS61040作為升壓轉換器來驅動串聯LED.圖3中通過在FB引腳和GND之間連接一個15Ω的外部電阻R1,根據反饋電壓(VFB=1.233V),TPS61040可為LED提供80mA的恒定電流。該設計允許在輸出上使用物理尺寸較小的外部器件(使用陶瓷電容代替鉭電容),這是由于TPS61040提供的開關頻率高達1MHz.PWM控制管腳用來控制LED燈的亮度。該電路可以獲得85%的電源轉換效率。在圖4中通過改變R1和D3的值,升壓拓撲可以驅動串聯的LED.通過在FB引腳連接一個47Ω的接地電阻,并根據反饋電壓(VFB=1.233V),TPS61040可為LED提供26mA的恒定電流。

圖3 TPS61040驅動并接的白光LED電路

圖4 TPS61040驅動串接的白光LED電路
1.電感、最大負載電流的選擇
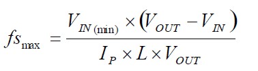
因為TPS61040/41工作在持續峰值電流控制的PFM模式,此方式具有內在穩定性,電感值不影響調節器穩定性。電感選擇與額定負載電流,輸入和輸出電壓一起決定轉換器開關頻率。根據不同的應用, 電感值的選擇可介于2.2μH和47μH之間(圖3、圖4中選擇10μF)。最大的電感值是由開關管的最大導通時間確定,一般為6μs.電感值決定了轉換器的最大開關頻率。因此,選擇電感值時,應確保在轉換器工作在最大負載電流時開關頻率不超過最大值。最大開關頻率計算公式如下:

式中,IP為峰值電流;L為所選電感的電感量;V IN(min)為最高開關頻率時的最小輸入電壓。
如果選定的電感值沒有使轉換器超過最大開關頻率,下一步就需要計算在額定負載電流時的開關頻率,可由下面公式得到:

式中,Iload為額定負載電流;Vdd為整流二極管正向電壓(典型值0.3V)。
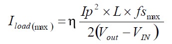
較小的電感值能使轉換器獲得較高的開關頻率,但卻降低了效率。電感值對最大有效負載電流影響不大,在一定的工作條件下,計算最大有效負載電流最好方法是估計轉換器的最大負載電流效率。最大負荷電流就可以估計如下:

式中,fSmax為預估計的最大開關頻率;η為期望的轉換器效率,典型值為70%-85%.
轉換器的最大負荷電流是該轉換器開始進入連續傳導模式的工作點電流。該轉換器應該通常一直工作在電流斷續模式。
2.輸出電壓的設置。
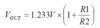
輸出電壓可由下式計算:

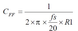
對于電池供電的應用而言(見圖2),應使用高阻抗電壓分配器,并且R2典型值小于200kΩ,R1最大值為2.2MΩ。低阻抗可降低反饋引腳噪聲敏感性。電阻R1并聯的前饋電容CFF是很重要的,它為誤差比較器提供足夠的過載。沒有前饋電容或其值過小,在TPS61040/41的SW引腳處會有雙脈沖或突發脈沖,導致更高的輸出電壓波紋。轉換器的開關頻率越低,則要求前饋電容值越大。但前饋電容越大則電源線性調整率越差,因此選擇的前饋電容器也不能太大。前饋電容值可使用下列公式計算:

式中,R1電壓分配器中的上拉電阻;fS額定負載電流時的轉換器開關頻率。
3.電源線性調整率和負載調整率
線性調整率取決于反饋引腳的紋波電壓。通常即使在反饋引腳FB上有峰峰值為50mV的紋波電壓,TPS61040/41也可獲得一個良好的輸出。不過一些應用可能需要更精密的線性調整率。
由前面介紹可知,若沒有前饋電容,則TPS61040/41的SW引腳處會有雙脈沖或突發脈沖,導致更高的輸出電壓波紋,所以沒有前饋電容就沒有良好的線性調節器。但增加前饋電容值雖然降低輸出電壓波紋,但卻增加反饋引腳FB的電壓紋波,反饋引腳的電壓波動越大(≥50mV), 線性調整率就越差。一般采用兩種方法來進一步提高線性調整率:
1)把L1電感值減小,從而提高開關頻率,降低輸出電壓紋波,同時也減小了反饋引腳的電壓波動。
2)反饋引腳(FB)和地之間增加一個小電容使反饋引腳的紋波電壓減少到50mV以下。
4.輸入、輸出電容的選擇
為更好實現輸入、輸出電壓的濾波,應采用低ESR(等效串聯電阻)電容。陶瓷電容具有低ESR值,但也可以使用鉭電容。
一般可采用4.7μF陶瓷電容。
5.二極管選擇
一般采用肖特基二極管以實現高效率。二極管的額定電流值應滿足轉換器的峰值電流額定值。
6.布局考慮
對所有的典型開關電源,布局設計是一個重要環節,特別是在高峰值電流和高開關頻率時。如果布局不合理,轉換器可能會有噪聲問題和周期性的抖動。設計時,輸入電容應該盡可能放在靠近輸入引腳的地方,以利于輸入電壓的濾波。電感和二極管應該放在盡可能靠近開關引腳附近,以減輕噪聲耦合到其它電路。因為反饋引腳和電源網絡是一個高阻抗電路,在布線時要遠離電感。反饋引腳和反饋網絡要用大面積的地進行屏蔽以減小噪聲耦合。<
免責聲明:本文僅代表作者個人觀點,與電源在線網無關。其原創性以及文中陳述文字和內容未經本站證實,對本文以及其中全部或者部分內容、文字的真實性、完整性、及時性本站不作任何保證或承諾,請讀者僅作參考,并請自行核實相關內容。
來源:C114